* 알아두어야할 단어

  • Offsetting (청산매매) = Reverse Trade (반대매매)
  • Marking to Market (MTM) - 시가평가를 의미
  • Interest rate futures (금리선물)  - 선물시장 내 금리 혹은 채권을 기초자산으로 하는 선물계약을 의미
  • Basis Point Value (BPV) : 시장금리(MRR)가 1bp 움직일 때, 금리선물 1계약의 가치변동분을 의미
  • zero rate = spot rate (현물금리)
  • par swap rate = 스왑계약의 고정금리

 

LOS 53.a : 선도계약과 선물계약의 가치평가 비교

* 선도계약과 선물계약의 가장큰 차이는 Margin call 

1. 선물계약 (Futures Contracts)

  • 미래의 특정 시점에 특정 기초자산을 미리 정한 가격으로 매매하기로 약정하는 계약 (선도계약의 정의와 동일)
  • 거래조건(기초자산, 만기일 등)을 규격화 한 후 거래소에 상장시켜 거래하는 형태의 선도계약을 선물계약이라고 한다.
구분 선도계약 선물계약
공통점 정산방법(Settlement) : Physical Delivery(실물인수도), Cash Settlement(차액정산) 모두 가능
계약시점의 파생상품 가치 = 0 (V0(T) = 0) (가치는 0인건 똑같은데, 선물은 증거금으로 초반에 돈(개시증거금, initial margin)이 들어감, 비용으로 보는 것이 아님!) 
차이점    
- 거래조건 거래방법, 계약단위, 만기일 등 제한 없음 거래방법, 계약단위, 만기일 표준화
- 거래장소 당사자 간에 직접거래 (장외거래 OTC) 규정된 거래소에서 거래(exchange trade)
- 이행보증 거래당사자 간의 신용
* 최근 CCP가 도입됨.
청산소(CCH ; Clearing House)에서 이행보증
- 증거금 규정된 증거금 없음 증거금제도 있음
- 정산방법 일반적으로 선도계약 종료일에 정산 일일정산
- 신용위험 거래상대방위험(counterparty risk) 존재 거래상대방위험 없음. (물론 아예 없는 것 아니지만 CFA교재상대로 없는 것으로)

 

  • 선물계약의 주요 특성
    ① 거래소 (Exchange) : 선물거래시장은 정형화되고, 조직화되고 규격화된 시장 (KRX, CBOT, CBOE)
    ② 청산소(Clearing House)  *한국은 거래소와 청산소가 같은데, 두개가 다른 곳인 나라도 있음.
      - 모든 선물거래 상대방이 됨으로써 선물 거래의 이행을 보증하고, 선물거래의 손익을 정산해주는 기관
      - 선물거래는 청산소의 이행보증 덕에 거래상대방위험(Counterparty risk)이 없음.
    ③ Novation : 사적계약을 거래소와의 계약으로 갱신함. 
  • 정산가격(Settlement price) = ST (선물계약의 만기일에 선물계약을 정산할 때 사용하는 현물가격, 만기일 종가)
    ▷  (Long Position) Payoff = ST- FP 
    ▷  (Short Position) Payoff = - (ST- FP)
    * FP = S0*(1+Rf)^(T)로 선도계약과 Pricing 식은 동일함.

  • Offsetting or Reverse Trade 
    - 선물계약은 만기에 정산하지 않고, Offsetting trade(청산매매, 반대매매)를 통하여 거래를 청산할 수 있음.
    - Offsetting Trade : 만기 이전에 처음 선물 거래와 반대 포지션의 거래를 통하여 최초 선물 거래를 청산하는 것.

  • 선물시장 참여자
    - Hedgers : 현물가격의 가격 변동위험을 관리하기 위해 선물시장에 참여하는 사람 (헤지목적)
    - Speculators : 현물을 보유하지 않은 상태에서 산물시장에만 참여하는 사람 (선물가격의 방향성에 Betting)

  • 일일정산 (Daily Settlement), Marking to Market (MTM)
    - 일일정산 : 선물가격 변화에 의한 손익을 매일매일 정산하여 증거금 계좌 (Margin account)에 반영
    - Daily Settlement와 MTM을 혼용하여 사용.

  • 증거금제도(Margin Account) => 레버리지를 가능하게 한다!
    - Performance guarantee(계약이행보증금) : 선물계약 당사자가 계약을 이행하지 않을 수 있는 위험을 대비하기 위해 거래소가 징수하는 계약이행보증금
     - Initial Margin(개시증거금) :  선물거래를 시작하기 위해 납부해야하는 증거금
     - Maintenance Margin (유지증거금) : 거래를 지속하기 위해 반드시 유지해야하는 증거금 
     - Variation Margin (변동증거금, 추가증거금) : 거래자의 증거금이 유지증거금 이하로 감소하였을 경우, 증거금을 *개시증거금 수준으로 올리도록 추가적인 증거금의 적립을 요구함 (Margin call)  

    * 유지증거금 수준이 아니라 개시증거금수준으로 올려야 하는 것에 유의 (주식계좌는 유지증거금까지, 파생은 개시증거금까지 채워넣어야 함)

  • Price Limits (1일 가격 변동한도) - 거래소에서 부과하는 선물계약의 일일변동 폭
    - Limit Up : 일일변동할 수 있는 상한 가격
    - Limit Down : 일일변동 할 수 있는 하한가격
    - Limit Move : 상한 가격과 하한가격 사이의 제한된 움직임

  • CCP (Central Counterparty) - OTC거래에서 거래상대방 간 정산업무를 수행할 수 있도록 지정한 기관(선물의 청산소, 거래소와 유사한 역할)
     - OTC거래에서의 Counterparty risk를 통제하기 위해, 담보(Collateral)를 관리하는 것이 일반적.

  • 금리선물(Interest rate Futures)
    - 기초자산을 금리(이자율) 또는 채권으로 하는 선물 계약 (MRR or T-bonds)  *채권도 금리선물이라고 칭함)
    - 금리선물의 표준화된 거래형태
      ⓐ 결제방식 : 현금정산 (Cash Settlement)
      ⓑ   가격공시 방식 ★ (그냥 외우기)

           ===> Futures price = 100 - Annualized MRR in percent
          - (ex) 6개월 후 6개월 짜리 금리를 기초자산으로 하는 Futures price = 97, F(6m, 6m) = MRR(6m, 6m) = 3%에 거래한다는 것.

 

  • Basis Point Value (BPV) : 시장금리(MRR)가 1bp 움직일 때, 금리선물 1계약의 가치변동분을 의미
     - BPV  = notional principal * period * 0.01% 
     - one basis point change in the MRR will change the future contract value by BPV.

    * 선물계약은 가격변동이 Linear하게 일어남 -> 원금 $1 milion, 6-month MRR = 2.5%, FP = 97.5라고 하자.
       BPV = $1,000,000 * 0.0001(1bp) * 1/2 = $50 
     ==> 1bp가 오르든 내리든 선물계약 가치 변동은 $50

     * 반면에 선도계약의 가치변동은 Convex하다 (금리오르면 변동폭 감소, 하락하면 변동폭 증가)
      > 1bp상승 시 FRA payoff = (0.01%)*$1milion*(6/12)/(1+2.51%/2) = 50/(1+2.51%/2) = $49.3803
      > 1bp하락 시 FRA payoff = (-0.01%)*$1milion*(6/12)/(1+2.49%/2) = 50(1+2.49%/2) = -$49.3852
    Convexity bias of Interest rate futres and forward
    ==> 위와 같이 선물과 선도가치가 기간이자율이 길어질 수록 커지는 것을 Convexity Bias라고 한다.
    (The convexity of forwards is termed convexity bias and forwards and futures prices can be significantly different for longer-term interest rates.)
    * MRR이 떨어지는 경우가 올라갈때보다 가격차이의 정도가 큼


  • 선물 및 선도계약의 비교 - 일일정산에 따른 차이
    - 일일정산 후 선물가격은 종가로 변경됨.
    - 선물은 일일정산 후 Initial Margin에 대한 초과금액은 인출하고 재투자할 수 있음.
100 ounces of gold (100개 계약),  FP0 (선물가격) = $1,870
Day0 Price = Settlement Price of 1870 MTM Value = 0
Day1 Settlement Price = 1,875  MTM value = $500 ($5*100)
$500 addition to margin account  
New futures price = 1,875 MTM value = 0
Day2 Settlement Price = 1,855 MTM value = -$2,000 (-$20*100)
$2,000 deduction from margin account  
New futures price = 1,855 MTM value = 0

 

<선물금리> 계약의 경우에는 이자율이 일정하거나 이자율과 선물가격에 상관관계가 없다면, 선도계약이나 선물계약이나 동일함.

선물가격 (+) 상승 Negative Correlation
- 선물가격 상승 → 낮은금리로 재투자
- Futures < Forward
Positive Correlation
- 선물가격 상승  →  높은금리로 재투자
- Futures > Forward
선물가격  (-) 하락 Positive Correlation
- 선물가격 하락  →  낮은금리로 자금 조달
- Futures > Forward
Negative Correlation
- 선물가격 하락 → 높은금리로 자금 조달
- Futures < Forward
  금리 하락 금리 상승

- A positive correlation between interest rates and the futures price means that (for a long position) daily settlement provide funds (excess margin) when rates are high and they can earn more interest, and requires funds (margin deposits) when rates are low and opportuinity cost of deposited funds is less. (Futures가 이론적으로 더 매력적)
 > 정리 <
ⓐ Corr(이자율, 선물가격) = 0 → Futures나 Forward나 무차별 (동일)
Corr(이자율, 선물가격) > 0   선물가격 오르면 예치금이나 재투자 이자 더 받고, 내리면 자금 조달비용이 적게드므로
    Futures > Forward (선물 선호)
Corr(이자율, 선물가격) < 0   선물가격 오른 경우 더 낮은금리이자, 하락하면 조달금리 비용 상승으로 
    Futures  < Forward (선도 선호)

LOS 54.a : 스왑계약의 가격결정, 가치평가 

  • Forward Contracts Pricing : 선도가격을 결정하는 프로세스
    - V0(T) = 0이 되도록 하는 F0(T) <- No arbitrage Forward Price

  • Swap Contracts Pricing : 스왑계약의 고정금리(Swap-fixed rate)을 결정하는 프로세스
    - V0(T)=0이 되도록 하는 Swap Fixed Rate의 결정 (똑같이 No-arbitrage Pricing)
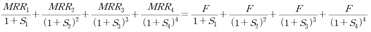
    - 변동금리의 현재가치와 고정금리의 현재가치가 동일하도록 고정금리를 산정함 = Par Swap Rate(F)
    - Spot Curve와 동일한 하나의 금리(Par Swap rate)을 산출하는 것이 Swap Contracts Pricing이다!
       ∑PV(Pay amount) = ∑PV(Recive amount) 
     * FRA로 Replication할 수 있는데, 다만 스왑의 V0(T)=0을 만들기 위한 각각의 복제된 FRA 가치는 0이 되지 않을 수 있다.
       (합쳐야 0이됨)

       F = Par Swap Rate = fixed rate payment   = the price of a fixed-for-floating interest-rate swap *최초에 정해짐

    MRR = forward day rates implied by the spot rates
      S = current effect spot rates for each period. (zero rate라고도 한다)

** The price of a fixed-for-floating interest-rate swap is specified in the swap contract.
** 고정금리 수취 포지션을 취할 시 이는 채권 long position과 같으므로 포트폴리오의 duration 상승 가능.

+ Recent posts